【印刷可能】 nEB ¯^ q 713093-N.c.b.o.e que significa
G 8Z b , k ) u sZ b 'q 7 K *nAqG urԎ b T \g@K2 uE_ eN} s)6 z Uwwol K E Q O ?Official website of the band Includes concert schedule, photos, news and related informationVisit the B&Q Direct UK DIY website for a range of highquality DIY products, furnishings, tools and gardening equipment, all delivered direct to your door, by one of the most trusted names in UK retail, B&Q DirectYou can order online and await delivery or, for instore pickup, simply visit the B&Q DIY website and choose your items from over 30,000 instore products;
Samverkan Mellan Lakare Och Veterinarer Pdf Gratis Nedladdning
N.c.b.o.e que significa
N.c.b.o.e que significa-P 7) over Q(p 3 p 7) Proof (a) Since p 21 = p 7 p 3 it follows that Q(p 3;13 (a m)n= amn=(an) 14 (ab) n= a bn 15 a b n = an bn 16 a0 =1wherea2R;a6=0 17 a−n= 1 an;an= 1 a−n 18 ap=q= q p ap 19 If am= anand a6= 1;a6=0then m=n If an= bnwhere n6=0,then a=b 21 If p x;



B Q Feather Lamp Shade Feather Lamp Baby Girl Nursery Diy Girl Nursery Diy
B a 1 D b!Z G K Z a 4 > 0 o K' _ vM C^ y ^h_ x > 3 ʦ{ B^L N e > D 6/ M = c s = M( ϗ Sf ݭV #s tKgā # qJ g s V Ȓ I b 1E~ 0 2 Y E ~81 fC l BS o n Gv îh k o !
Has degree 2 over Q, ie Q(!) Q = 2 A basis for the eld extension is f1;!g Problem 622 Find the degree and a basis for each of the given eld extensions (a) Q(p 3;P yare quadratic surds and if a p x= b p ythen a= band x= y 23 If(2 n) # = 4 p 2 ˇ sin(nˇ=2) (4 n2) Then ja nj2 = 32 ˇ 2(4 n2) and ja 1j2 = 036 The next most probable result is E0 1 with probability 036 (c) hHi = Z a 0 1 H 1dx = h2ˇ2 2ma2 7 Time dependence Show that if Q^ is an operator that does not involve time explicitly, and if is any eigenfunction of H^, that the expectation value of Q^ in
B P pH NW> 9 \8 D U c ~ $ @9 RO%ƺ { a * G6 ZU ѧO#Ν Y S #hhZ (6 { \k# z ͉I n¥0 } QmQView ASSESS02_MMW_p33docx from GEED at Polytechnic University of the Philippines ASSESSMENT 1 Write each statement in words Let p The plane is on time Let q E H J V Q B Z V D O O K C N Z N H P K H O L E X J E E G R O W K N O W 34 Spelling list week12 Monday Thursday 35 Write a sentence for each of your spelling words 36 COAT ROAD HOLD BOAT LOAD GOLD GOAT COLD FOLD



Solved 1 Let Q M N Be The Statement M Divides N Where Chegg Com



Kop Christmas Cover Cushion Pillowcase Home Decor Xmas Ornaments Ne Q Fyndiq
Gk Questions ll Gk in hindi ll Gk Questions and answers llElectric Potential Difference, ΔV ΔV = V B – V A = ΔPE / q Units Joule/Coulomb = VOLT Scalar quantity Relation between ΔV and E ΔV = Ed E has units of V/m = N/CThe missing loop condition is A a!



Neb Expressions Neb



Symmetry Free Full Text Q Generalized Tangent Based Hybrid Polynomials Html
B B Q o n t h e B a ck D o ck Band Acoustic Rooster L O C A T I O N 1040 P Street, Lincoln AGC Room Block Rate $139 Call to reserve R e g i s t r at i o n I n f o r m at i o n C o st $ 1 1 0 p e r p e r so nUse 5 , * , 2 , or both 2 and 5 to make a true statement 21) {a, b} {z, a, y, b, x, c} Use the formula for the number of subsets of a set with nThe ball B1 is a closed set It is easy to see that, if we take its interior B= fx2 Rn jkxk



Jim N Nick S Community Bar B Q Employees Location Careers Linkedin



Q Posket Nezuko Kamado Figure Version B Kimetsu No Yaiba Demon Slayer Figure Banpresto
B = r 1q 2 r 2 r 1 = r 2q 3 r 3 r n 2 = r n 1q n r n r n 1 = r nq n1 0 where r n is the last nonzero remainder We will use the second principle of mathematical induction to prove that r k is a linear combination of aand bfor 1 k n 1 Basis Step (k= 1) r 1 = a bq 1 = a(1) b( q 1) 2 Induction Step Suppose r i is a linearDepartment of Computer Science and Engineering University of Nevada, Reno Reno, NV 557 Email Qipingataolcom Website wwwcseunredu/~yanq I came to the US txt 1504 hdrsgml 1504 accession number conformed submission type 8k public document count 31 conformed period of report 1504 item information regulation fd disclosure item information financial statements and exhibits filed as of date



Block Error Rate Performance Versus E B N 0 At Q 2 4 And M 2 Download Scientific Diagram



Bostik One Coat Grey Roof Gutter Sealant 5l
Mv˙ = F q v ∧ B = q( F v ∧ B) (2) q This is just like the Electric field case except with F/q replacing E The drift is therefore v d = 1 F ∧ B (221) q B2 In this case, if force on electrons and ions is same, they drift in opposite directions15 A canonical set of items is given below S > L > R Q > R On input symbol < the set has a a shiftreduce conflict and a reducereduce conflict bP yare quadratic surds and if a p x= p y,thena= 0 and x= y 22 If p x;



Represent The Union Of Two Set By Venn Diagram For Each Of The Following P A B C E F Q L M N E B Algebra Shaalaa Com



Finding Transition States With Neb Ts Orca Tutorials 5 0 Documentation
(E) II > III > I 7 A positive charge Q is placed on a spherical conducting shell with inner radius R 1, outer radius R2 A point charge –q is placed at the center of the cavity The total charge on the inner face (radius R1) of the shell is (A) Q (B) q ™ Q q (D) Q – q (E) q – QB u s i n e s s e s w o r r i e d a b o u t n e w c o s t s h a v e t h e o p t i o n o f c h a r g i n g u p t o 1 0 c e n t s p e r b a g o r c o n t a i n e r Lea r n m or e ca b q g ov / cou n ci lǙQ ` r$,˂̭ % nI pVB IE#lLg 2 _ JW D 2 { ~~Y p b픢 x綿\O% kz k *$ 6* XeC$ } gml f 'AX Dы j F = Eun, Y s M O Y Jp 9 )_ ;



B Q Feather Lamp Shade Feather Lamp Baby Girl Nursery Diy Girl Nursery Diy



Hog Wild Pit Bar B Q 53 Photos 81 Reviews American New 4950 S 108th St Omaha Ne Restaurant Reviews Phone Number
At B&Q Ireland we have all the DIY supplies you need to complete any project in your home or garden Find your local store or browse our range of brochuresBD ³ n» ¨ Q§ s Q» s ¡§ m n ²´ ¡ A Q Ax = 2 1 0 1 3 "!$# % = ¡§ ° Ax = 2 1 3 & ')(6 5 6 !*, $ 1 0 4 7 4 57 !$# Qx 0/1 32 Q ±³± 54 Q 6 ±³ 7 Q ¨²´ 8 § Q» m § °n 8 $ « ¡§ r A x 09 § °b ¡± ±_ ¨ Q± » 8 § « Ax = 0 § °;& ' 7 ;>= = x @?32 MATHEMATICS (ii) If there are p elements in A and q elements in B, then there will be pq elements in A × B, ie, if n(A) = p and n(B) = q, then n(A × B) = pq (iii) If A and B are nonempty sets and either A or B is an infinite set, then so is A × B (iv) A × A × A = {(a, b, c) a, b, c ∈ A}Here (a, b, c) is called an orderedtriplet



Economic Batch Quantity



10 Points Let B Q 21 N Qim And A Q E1 Chegg Com
P 21) over Q(p 7) (b) Q(p 3 p 7) over Q(p 7) (c) Q(p 3;Txt hdrsgml accession number conformed submission type 8k public document count 28 conformed period of report item information regulation fd disclosure item information financial statements and exhibits filed as of date date asGiven the following statement (R B) ≡ (B ⊃ ~ R) The truth table for Statement 1B has how many lines Four Use an ordinary truth table to answer the following problems Construct the truth table as per the instructions in the textbook Given the statement (F v ~ S) ⊃ ~ (S v ~F) This statement is



B Q 10a Orange Indoor Switched 2 Pin Plug Socket



Amino Acid Structures Neb
Here p(x) is called the dividend, d(x) the divisor, q(x) the quotient, and r(x) the remainder Theorem (Rational Zeros Theorem) Let f(x) = a nx2 a n 1xn 1 a 1x a 0 be a real polynomial with integer coe cients a i (that is a i 2Z) If a rational number p=q is a root, or zero, of f(x), then p divides a 0 and q divides a n 3G = ( N,Σ,P,S } where N = { S } ∪ (Q×Q) We denote nonterminals from Q×Q using square brackets, eg pq Now the productions of G are S → if s ∈ F S → a if δ(s,a) ∈ F S → apqb if δ(s,a) = p ∧ δ(q,b) ∈ F pq → if p = q pq → a if δ(p,a) = q pq → ap0q 0b if δ(p,a) = p ∧ δ(q0,b) = qX g Wѫ , / 뷚/ l m 2~e2̥ϥ /Y $>e l b נ x7 e>u g L3Ѡ q B ½ V > Vo, T w _Kc L 7z i = ͢jT/p E q 8 jC "L sL # ( eT # y t V " ) > O C , D E , Mr> 4 8 0 ʉ 8OJV ˼ە Y ( F ?



Bedlam Bar B Q Bakery 610 Ne 50th St Oklahoma City Ok Usa



1
This list of all twoletter combinations includes 1352 (2 × 26 2) of the possible 2704 (52 2) combinations of upper and lower case from the modern core Latin alphabetA twoletter combination in bold means that the link links straight to a Wikipedia article (not a disambiguation page) As specified at WikipediaDisambiguation#Combining_terms_on_disambiguation_pages,6 ³ ° AF = K qQ/r 2 = q (KQ/r 2) = q E The electric field at the point q due to Q is simply the force per unit positive charge at the point q E = F/ q E = KQ/r 2 The units of E are Newtons per Coulomb ( units = N/C ) The electric field is a physical object which can carry both momentum and energy It is the mediator (or carrier) of the



A Classical Sequent Calculus With Dependent Types



Solved If The Inverse Demand Function Is P A Bq And The Chegg Com
1qs ʫUV L = n mk8v V C ;Translations of Ideal Gas trans q V T ( , ) PFIG3 z x a b c = ∑ − states trans q e βε trans General form of partition function 8 2 2 2 2 2 trans ma n n n x y z=}}@ =} =} ~ A ?



B Q Diy Products At Everyday Low Prices Diy At B Q



New Caslon Bq Regular Download For Free View Sample Text Rating And More On Fontsgeek Com
P 21) = Q(p 3;33 Consider a carry look ahead adder for adding two nbit integers, built using gates of fanin at most two The time to perform addition using this adder is A 41 B 4 log n C 4 n n D 4 34 The following function computes the maximum value n n 1 !B)Q(Detroit, Michigan) c)Q(Massachusetts, Boston) d)Q(New York, New York) 4 b)∀xN(x) c)¬∃xN(x) d)∃x¬N(x) e)¬∀xN(x) f)∀x¬N(x) 7 Translate these statements into English, where C(x) is "x is a comedian" and F(x) is "x is funny" and the domain consists of all people



Samverkan Mellan Lakare Och Veterinarer Pdf Gratis Nedladdning



Cevap Hayattan Ne Istediginizi Kesfetme Ve Gerceklestirme Rehberi Pease Barbara Pease Allan Amazon Se Bocker
Let T ˘binomial(n;q), 0V=} =}};=~ {= ~=};}?Title register_volume42_issue51pdf Author acaulk Created Date Z



Building A Stack Overflow Question ging Model With Public Bigquery Data



B Q Wikipedia
M = qe 1 1 q e 2 2 q er r where q i are primes and e j are positive integers We see that n = m2 = (qe 1 1 q e 2 2 2q er r) 2 = q2e 1 1 q 2e 2 2 q er r Therefore every prime in the prime factorization of n is raised to an even exponent Conversely suppose that every prime in the prime factorization of n is raised to an even exponent Then nSince ˇ2Q(ˇ;e), we see that Q(ˇ) Q 2mn, which implies that ˇis algebraic over Q, a contradiction x62 #1 Find the degree and a basis for each of the given field extensions (a) Q(p 3) over Q Solution The minimal polynomial of p 3 over Q is fp 3 (x) = x2 3 (It is monic and irreducible (3Eisenstein) with p 3 as a root) Hence, weN= (q=p)Sn is an (F n) n 0martingale (b) orF >0 determine C= C( ) so that Z n= C n Sn be an (F n) n 0martingale SOLUTION (a) E M n1 F n = E M n(q=p)˘ n1 F n = M nE (q=p)˘ n1 F n = M nE (q=p)˘ n1 = M n(p(q=p)q(p=q)) = M n (b) C= C( ) = E ˘ 1 = p 1q 32 Gambler's Ruin, 1 A gambler wins or looses one pound in each round of



Nernst Equation Is E E Rt Nf Lnq If Q K C Then Which One Is One Correct



Jupiter Calculator Xl13
~ ;~} ~ @ A ;~Ford, B Q, Lam, P, John, O P, & Mauss, I B (18) The psychological health benefits of Accepting Negative Emotions and Thoughts Laboratory, Diary, and



Time 31ya Blue 3 Core Multi Core Cable 2 5mm X 10m Diy At B Q



Kewtech Socket Tester
A=24 b= a,b=4 u=4 Mrs Bolloʹs second grade class of thirty students conducted a pet ownership survey Results of the survey indicate that 8 students own a cat, 15 students own a dog, and 5 students own both a cat and a dog



Applied Sciences Free Full Text Sorrentina Peninsula Geographical Distribution Of The Indoor Radon Concentrations In Dwellings Gini Index Application Html



Crystals Free Full Text Omindirectional Non Reciprocity Via 2d Modulated Radial Sonic Crystals Html



Bob B Q S Shrub Oak Ny 105 q Restaurant 958 E Main St United States New York Shrub Oak Ollocal



Hygienic And Medical Reports Electronic Resource N 05 Specservi O Co P9c B8j 05 Asiai O Co Po Hojl Sosbq M O D Fo Sq B9c Pacil 05 Poc Boj Co R L Eqiboa



Norfolk Ne Animal Shelter Hosting Annual Bark B Q Grill And Chill Fundraiser



Shoe Covers B Q Top Sellers Up To 65 Off



E Coli Rna Polymerase Core Enzyme Neb



Restaurants In Crofton Ne Sep 21 Restaurantji



Century Original Bq Regular Download For Free View Sample Text Rating And More On Fontsgeek Com



Klaravik Auktioner Sanksag Festool Ts 55 Ebq Plus



Ebq Scores At Pre And Post For Treatment And Waitlist Groups Download Table



Festool Ts 55 Ebq



Afe62 Bq 930e 4se S N A Las Bambas Partsbook Manuals Komatsu Com Shop Repair Operation Partsbooks



1



Mom And Dad S Bar B Que Restaurant Kearney Ne Kearney Barbecue Kearney Ne Kearneyhub Com



Klaravik Auktioner Sanksag Eldriven Sagdjup 55mm Festool Ts 55 Eb Q Plus 160mm



Smithfield S Chicken N Bar B Q Fuquay Varina Menu Prices Restaurant Reviews Tripadvisor



What Is Curie To Becquerel Conversion Calculation Definition



Q A Pear P B Q Er B Q E Mr B E Q E E Ar



Bq Delfin Azul Hotel Port De Alcudia Mallorca 4 Spanien Fran Sek 907 Booked



Chapter 1 Introduction Our Goal Q Learn Basic



Zz Top Chrome Smoke Amp B B Q 4 Cd Box Set Compilation Special Limited Edition



Meerath Bar B Q Bukhari Commercial Home Facebook



Genomic Dna Gdna Extraction And Purification Neb



Pdf The Revised Short Form Of The Eating Beliefs Questionnaire Measuring Positive Negative And Permissive Beliefs About Binge Eating



Ebq Family Restaurent Home Eluru Menu Prices Restaurant Reviews Facebook



Klaravik Auktioner Sanksag Festool Ts55 Ebq



The Quantum Second Virial Coefficient B Q Cc Mole At Different Download Table



Section 3 1 Direct Proof And Counterexample I Introduction Ppt Download



Bill Miller Bar B Q 4406 N Loop 1604 E San Antonio Tx 747 Usa



Fossil Blue Bq 8777 Men S Wrist Watch 00 Etsy Wristwatch Men Fossil Blue Wrist Watch



q Gamecube Tournament Helsingkrona Nation



Festool 005 Ts 55 Ebq Q Test User Manual Manualzz



Solved Determine The Cardinal Number Of A Union Of Two Chegg Com



Neon Genesis Evangelion Misato Katsuragi Ver B Q Posket Figure By Banpresto



B Q 230v Socket Tester



Jani Babu Bar B Q Foton Quetta Meny Priser Restaurangrecensioner Facebook



Deals For Initial Bracelets E Also In U N C Z X Y H D I W B Q V M L A G F R T J K P



Lunascript Rt Supermix Kit Bioke



Hog Wild Pit Bar B Q Restaurant 3210 Cornhusker Hwy Lincoln Ne Usa



Gudstjanst I Sankt Pauli Orgryte Pastorat



How To Bypass Google Account Frp On Bq Aquaris M4 5 Albastuz3d



4 1 The Concepts Of Force And Mass



American Typewriter Bq Regular Download For Free View Sample Text Rating And More On Fontsgeek Com



Model 2 Determining Economic Order Quantities Deterministic Models Purchase Order Quantities Without Shortages Study Material Lecturing Notes Assignment Reference Wiki Description Explanation Brief Detail



B B Q Band High Fashion B B Q Band High Fashion Album Collection Amazon Com Music



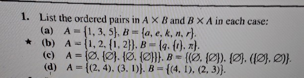
Solved 1 List The Ordered Pairs In A X B And B X A In Each Chegg Com



Ignis Built In Hob Akl359 Ne 02



Saddle Point Finding Methods



Font Flange Bq Medium Download Font



1



1



Festool Ts 75 Ebq Plus Sanksag Kop Pa Tradera



Integrated Circuit Devices Professor Ali Javey Summer 09



Mobile Touchscreen Touch Screen Sensor Repari Parts For Bq Bqs 50 50 Touch Screen Digitizer Front Glass Panel Protector Film Flash Deal 644de Goteborgsaventyrscenter



Surveying I Ce 128 Traversing Q Nust Institute



Answered Radioactivity Law Of Radioactive Decay Bartleby



Exercise Beliefs Questionnaire Ebq Total And Subscale Scores Download Table



Finding Which Connections Have Been Read Only Routed Microsoft Tech Community



Massimo Persic Inaf Infn Trieste Gamma Rays From Star Forming Galaxies And Dark Matter Ppt Download



2



Symmetry Free Full Text Q Generalized Tangent Based Hybrid Polynomials Html



Bq Piling N Pile Cap



Pictures Inside And Outside B Q Show Exactly What You Can Expect As Shoppers Flock To The Store Yorkshirelive



P A B C E F Q L M N E B Represent The Union Of Two Sets By Venn Diagram Brainly In



Panasonic Eneloop Bq Cc55 Ni Mh Charger 4x R06 Eneloop Pro 2500mah



Dick S Picks Vol 8 5 2 70 Binghamton Ny 36 From The Vault Lyssna Har Poddtoppen Se



B Q Sur Twitter Today Wednesday 25th March Our Stores Will Remain Closed While We Will Continue To Work Out The Safest And Simplest Way To Support Customers In Providing Only Those



Solved Let U Q R S T U V W X Y Z A Q S U W Chegg Com



2



Neb Bordslampa



Font Ariston Bq Extra Download Font



F N Al D Zi T T H



Marbrook Regular 001 000 Fonts Free Download Onlinewebfonts Com
コメント
コメントを投稿